光影的指挥棒——从静电场分布到纳米级电子束光刻
日期:2025-12-24
在电子显微镜的微观世界里,我们失去了一切机械接触的手段。要在一个直径不到1微米的区域内进行亚纳米级的观察或加工,我们手中唯一的工具就是“场”——电场与磁场。电子光学的设计艺术,本质上就是对空间电势分布的精密雕刻。

NanoMi开源项目为我们提供了一个绝佳的物理教具,展示了如何用最基础的静电场构建一个成像系统。而当我们将视线转向工业级的泽攸科技ZEM系列扫描电镜与图形发生器时,我们则能看到,当这种对“场”的控制精度达到亿分之一时,电子束将如何从“观测的探针”进化为“精密的刻刀”。
单电位透镜:在真空中雕刻等势面
在上一篇文章打破黑盒——从NanoMi看台式电镜的模块化革命中,我们提到了NanoMi采用了静电透镜。但在物理层面,它究竟是如何工作的?光线通过玻璃透镜是因为介质折射率的改变,而电子通过静电透镜,实际上是穿越了一系列复杂的“等势面”。NanoMi所使用的核心透镜被称为单电位透镜,其经典结构由三个沿光轴排列的环形电极组成。

图 单电位透镜的透视图
在物理机制上,这种透镜利用的是“鞍形场”效应。当中间电极施加与电子电荷同号的负高压(减速模式),而前后电极接地时,电子进入透镜区域会经历一个先减速后加速的过程。
外围的电子:由于电场线的弯曲,离光轴较远的电子会受到更强的径向分力,被迫向轴心偏转。
轴心的电子:受到的径向力较小,直线传播。
这种“边缘折射率大、中心折射率小”的特性,迫使电子束汇聚。NanoMi的设计图纸显示,其透镜电极由铝合金精密加工而成,并使用PEEK材料进行高压绝缘。这种结构的精妙之处在于,只要电极几何形状固定,电子的轨迹就仅取决于电压比,而与电子的具体质量无关,这也意味着它同样适用于离子束聚焦。

图 弥散圆
不过静电透镜并非完美,在工程实践中,其挑战在于球差。NanoMi的模拟数据显示,其球差系数较大,约为数十毫米量级。这意味着远轴电子无法与近轴电子汇聚在同一点,形成了一个弥散圆。
泽攸科技的ZEM系列扫描电镜虽然同样采用了轻量化的路线,但在工程上进行了深度优化,使得ZEM30Pro即便在使用LaB6灯丝时,也能在30kV下实现优于2.5nm的分辨率。

图 ZEM30Pro多功能扫描电镜
色差的物理博弈:从热电子到量子隧穿
如果说球差是透镜几何形状的“胎病”,那么色差就是电子源带来的“先天不足”。
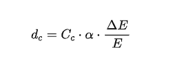
在NanoMi的基础配置中,使用的是钨发夹灯丝。从物理学角度看,这是一种热致发射源。当钨丝被加热到2700K时,电子获得足够的动能克服逸出功“沸腾”出来。但问题在于这些电子的初动能并不一致,其能量散布(EnergySpread, ΔE)通常在1.5eV到2.5eV之间。
根据色差公式:

当加速电压E较低时(例如5kV),ΔE的影响会被急剧放大。这就好比我们用白光去照射凸透镜,焦点周围必然会出现彩虹般的光晕。这就是为什么NanoMi在低电压下的分辨率会显著下降的原因。

图 一个理想的圆环图像(1)与仅存在轴向(2)和仅存在横向(3)色差的图像的对比
为了突破这一物理极限,泽攸科技的ZEM Ultra引入了肖特基场发射电子枪,这不是简单的升级,而是物理机制的质变。
量子隧穿:场发射不再单纯依赖高温,而是利用极尖(Tip)处极高的电场强度,将势垒压低并变窄,使电子通过“量子隧穿效应”穿过势垒。
虚源极小:场发射的电子源尺寸仅为钨灯丝的千分之一。
单色性:最关键的是,其能量散布ΔE被压缩到了0.3eV-0.7eV量级。
这种极高的“单色性”使得电子束在穿过静电透镜时,折射角度高度一致,从而极大地消除了色差。配合ZEM Ultra的三级独立真空设计(保持枪室真空度优于 Pa),这种物理上的优势被转化为工程上的胜势,使其在15kV电压下依然能保持优于2.5nm的极高分辨率。

图 ZEM Ultra场发射扫描电镜
偏转的艺术:从光栅成像到矢量光刻当电子束被透镜汇聚成极细的探针后,它需要被“搬运”到样品表面的特定位置,这就是偏转系统的工作。NanoMi项目展示了偏转器的基本构造:两对静电极板,分别控制X和Y方向的位移 。通过在极板上施加锯齿波电压,电子束在样品表面进行逐行扫描,结合探测器采集的信号强度,还原出微观地貌。
然而如果我们将对电子束的控制从“扫描”升级为“书写”,技术难度将呈指数级上升。这就是电子束光刻(EBL)技术,也是泽攸科技ZPG20图形发生器的核心领域。

图 一体化的高速图形发生系统,允许用户快速、便捷地刻蚀复杂图案
在成像模式下(如NanoMi),我们只需要电子束跑得快、跑得匀,但在光刻模式下,我们需要电子束指哪打哪,且须在纳秒级的时间内精确控制束流的通断。
从16位到20位的跨越:与NanoMi的16位控制不同,ZPG20采用了高精度20位数模转换器(D/A) 。 在电子学中,位数的提升意味着解析度的几何级数增长。基于NanoMi的算法(16位对应1.5nm步进),20位DAC的精度理论上提高了16倍,这意味着电子束的定位精度可以达到亚纳米级别。这种极致的细腻度,使得ZPG20能够在扫描电镜、聚焦离子束、扫描探针显微镜等设备上进行超高分辨率的图案绘制。
邻近效应校正与复杂工艺:当电子束轰击材料时,散射电子会造成非预期的曝光,即“邻近效应”,这会导致微纳图形边缘模糊。NanoMi的基础软件并不具备处理这种复杂物理过程的能力。 而ZPG20集成了先进的邻近效应校正功能和区域曝光剂量控制。系统可以根据图案的疏密,智能调节电子束的驻留时间或强度。同时ZPG20支持“多图层自动曝光”和“场校准、场拼接” ,结合激光干涉仪工件台,可以实现≤45nm精度的套刻工艺 。这意味着工程师可以利用这套系统,制造出光电子器件、超构材料等高精度的微纳结构。
智能化的控制:从手动调节到全自动聚焦
在NanoMi的开源设计中,为了获得一张清晰的图像,用户往往需要手动调节透镜电压、像散器电压,甚至需要手动平衡偏转板的电位 。这虽然是一个极佳的教学过程,但在高通量的工业检测中却是效率的瓶颈。
泽攸科技ZEM系列展示了软件算法如何赋能电子光学,部分机型均标配了“全自动操作”功能。

图 泽攸科技ZEM系列扫描电镜部分软件功能
自动聚焦:系统通过分析图像的锐度,自动闭环调节物镜电流或电压,在几秒钟内找到最佳焦平面 。
自动亮度对比度:自动分析图像直方图,调整探测器增益,确保图像灰度分布处于最佳动态范围 。
这种“一键式” 的操作体验,屏蔽了底层的物理复杂性。用户不再需要像操作NanoMi那样去理解“电压摆动” 的物理含义,只需点击鼠标,即可获得清晰的微观图像。此外ZEM30 Pro等机型还配备了光学导航和仓内摄像头 ,实现了“所见即所得”的样品定位,进一步降低了电子显微镜的使用门槛 。
从NanoMi到泽攸科技,我们看到了一条清晰的技术进化路径。NanoMi以开源的精神,向我们揭示了电子光学的第一性原理:用静电场构建透镜,用电压控制轨迹。它证明了电子显微镜并非不可触碰的黑盒,而是一个可以被理解、被构建的物理系统。而泽攸科技的ZEM系列扫描电镜与图像发生器,则是在此基础上,通过引入场发射物理机制、集成20位超高精度控制电路以及开发自动化算法,将这种物理原理推向了工程应用的极致。
在这里,电子束不再仅仅是一束用于观察的光,它是科学家手中那把可以在原子尺度上进行观测、分析甚至进行微纳制造的刻刀。
参考资料1、Marek Malac . “NanoMi: An open source electron microscope hardware andsoftware platform.” Micron 163 (2022): Article 103362.
2、Reimer, Ludwig. Scanning Electron Microscopy: Physics of Image Formation and Microanalysis. Springer, 1998.
3、Orloff, Jon. Handbook of Charged Particle Optics. CRC Press, 2009.
4、维基百科:Einzel lens、球面像差、模糊圈、Chromatic aberration等
作者:泽攸科技
